Брестский областной противотуберкулезный диспансер
Верхнее меню
English
Контактная информация
Платные услуги
ОДНО ОКНО
ЗАКАЗАТЬ ТАЛОН
Найти
Главная страница
Платные услуги
ОДНО ОКНО
Депутатский корпус
Горячая линия
Административные процедуры
Задать вопрос специалисту
ОДНО ОКНО /
ОДНО ОКНО
Депутатский корпус
Горячая линия
Административные процедуры
Порядок выдачи листка нетрудоспособности по уходу
Алгоритм выдачи заключений врачебно-консультативной - комиссии
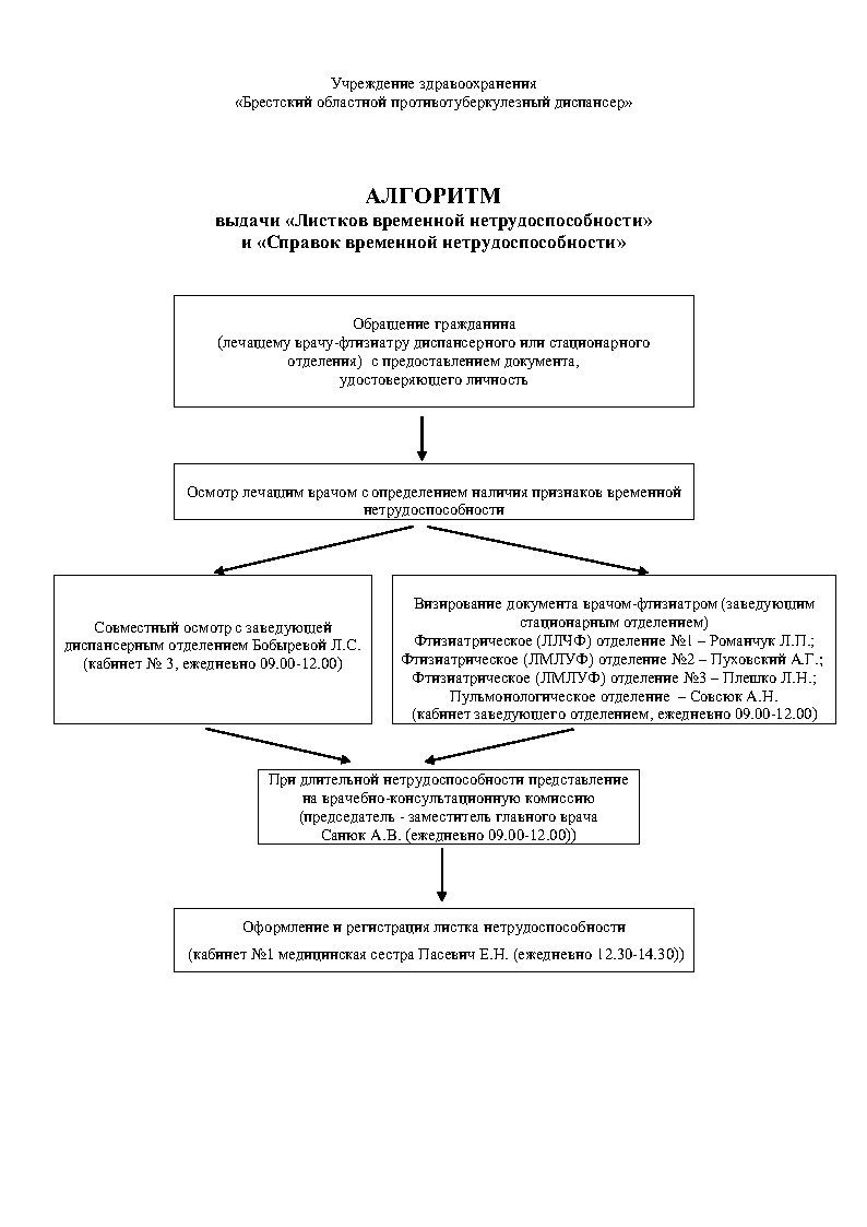
Алгоритм выдачи листка нетрудоспособности
Алгоритм выдачи справки о состоянии здоровья, выписки из медицинских документов
Перечень административных процедур
Задать вопрос специалисту